Упр.1067 ГДЗ Алимов 10-11 класс (Алгебра)
Решение #1
Решение #2

Рассмотрим вариант решения задания из учебника Алимов, Колягин, Ткачёва 11 класс, Просвещение:
1067 Решить уравнение относительно n:
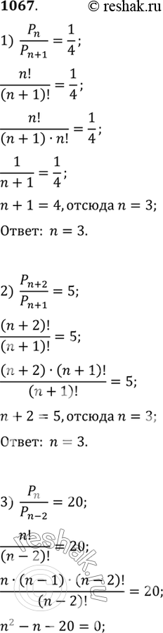
1) pn/(pn+1) = 1/4;
2) (pn+2)/(pn+1) = 5;
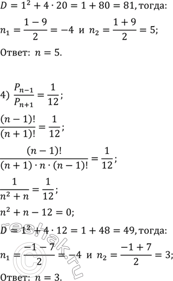
3) pn/(pn-2) = 20;
4) (pn-1)/(pn+1) = 1/12.
*размещая тексты в комментариях ниже, вы автоматически соглашаетесь с пользовательским соглашением