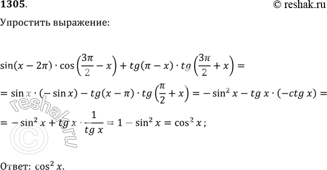
Упр.1305 ГДЗ Алимов 10-11 класс (Алгебра)
Решение #1
Решение #2

Рассмотрим вариант решения задания из учебника Алимов, Колягин, Ткачёва 11 класс, Просвещение:
1305 sin(x-2пи)cos(3пи/2 - x)+tg(пи-x)tg(3пи/2 + x).
*размещая тексты в комментариях ниже, вы автоматически соглашаетесь с пользовательским соглашением