Упр.1348 ГДЗ Алимов 10-11 класс (Алгебра)
Решение #1
Решение #2

Рассмотрим вариант решения задания из учебника Алимов, Колягин, Ткачёва 11 класс, Просвещение:
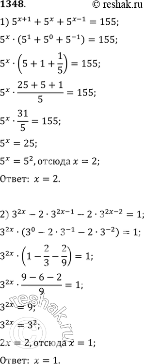
1348 1) 5^(x+1)+ 5x + 5^(x-1)=155;
2) 3^2x - 2*3^(2x-1) - 2* 3^(2x-2) =1;
3) 7x- 7^(x-1)-6;
4) 3^(x+2) +3x=10.
*размещая тексты в комментариях ниже, вы автоматически соглашаетесь с пользовательским соглашением