Упр.1407 ГДЗ Алимов 10-11 класс (Алгебра)
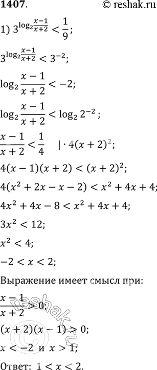
Решение #1
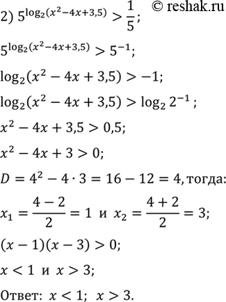
Решение #2

Рассмотрим вариант решения задания из учебника Алимов, Колягин, Ткачёва 11 класс, Просвещение:
1407 2)5log2(x2-4x+3,5)>1/5.
*размещая тексты в комментариях ниже, вы автоматически соглашаетесь с пользовательским соглашением