Упр.607 ГДЗ Алимов 10-11 класс (Алгебра)
Решение #1
Решение #2

Рассмотрим вариант решения задания из учебника Алимов, Колягин, Ткачёва 10 класс, Просвещение:
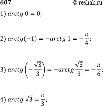
Вычислить (607—608).
607 1) arctg 0;
2) arctg (-1);
3) arctg (-корень 3/3);
4) arctg корень 3.
*размещая тексты в комментариях ниже, вы автоматически соглашаетесь с пользовательским соглашением