Упр.825 ГДЗ Алимов 10-11 класс (Алгебра)
Решение #1
Решение #2

Рассмотрим вариант решения задания из учебника Алимов, Колягин, Ткачёва 11 класс, Просвещение:
Выяснить, при каких значениях х производная функции принимает положительные значения:
1) f (х) = х4 - 4х2 +1;
2) f (х) = 3х4 - 4х3 - 12х2 + 3;
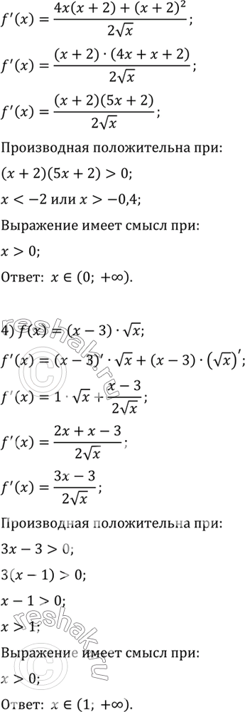
3) f (х) = (х + 2)2 корень х;
4) f (х) = (х-3) корень х.
*размещая тексты в комментариях ниже, вы автоматически соглашаетесь с пользовательским соглашением