Упр.620 ГДЗ Макарычев Миндюк 9 класс (Алгебра)
Решение #1
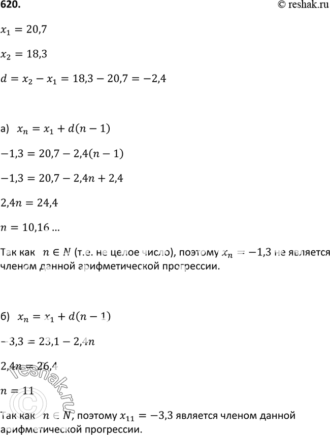
Решение #2

Рассмотрим вариант решения задания из учебника Макарычев, Миндюк, Нешков 9 класс, Просвещение:
620. Является ли членом арифметической прогрессии 20,7; 18,3; ... число: а) —1,3; б) -3,3?
*размещая тексты в комментариях ниже, вы автоматически соглашаетесь с пользовательским соглашением