Упр.636 ГДЗ Макарычев Миндюк 9 класс (Алгебра)
Решение #1
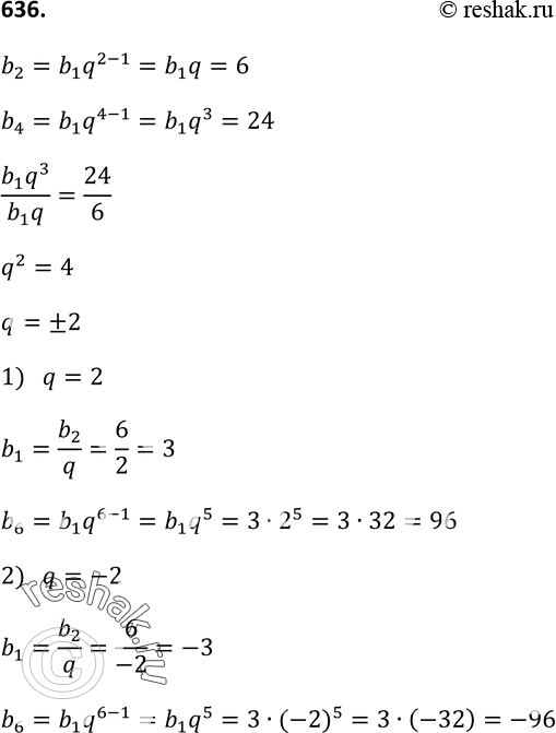
Решение #2

Рассмотрим вариант решения задания из учебника Макарычев, Миндюк, Нешков 9 класс, Просвещение:
636. Найдите шестой член геометрической прогрессии (bn), если известно, что b2 = 6, b4 = 24.
*размещая тексты в комментариях ниже, вы автоматически соглашаетесь с пользовательским соглашением