Упр.1612 ГДЗ Алимов 10-11 класс (Алгебра)
Решение #1
Решение #2

Рассмотрим вариант решения задания из учебника Алимов, Колягин, Ткачёва 11 класс, Просвещение:
Решить неравенство (1612—1615).
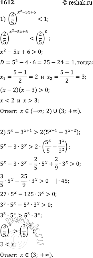
1612 1) (2/5)x2-5x+6<1;
2)5x-3(x+1)>2(5(x-1)-3(x-2)).
*размещая тексты в комментариях ниже, вы автоматически соглашаетесь с пользовательским соглашением