Упр.258 ГДЗ Алимов 10-11 класс (Алгебра)
Решение #1
Решение #2

Рассмотрим вариант решения задания из учебника Алимов, Колягин, Ткачёва 10 класс, Просвещение:
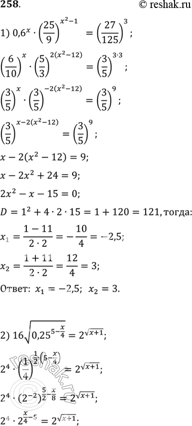
Решить уравнение (258—260).
258. 1) 0,6x *(25-9)^(x2-12)= (27/125)3;
2) 16* корень (0,25^(5-x/4)) = 2^ корень (x+1)
*размещая тексты в комментариях ниже, вы автоматически соглашаетесь с пользовательским соглашением