Упр.264 ГДЗ Алимов 10-11 класс (Алгебра)
Решение #1
Решение #2

Рассмотрим вариант решения задания из учебника Алимов, Колягин, Ткачёва 10 класс, Просвещение:
264. Решить уравнение:
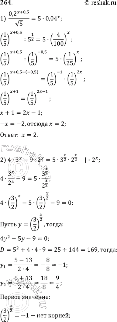
1) (0,2^(x+0,5))/корень 5=5*0,04x;
2) 4*3x - 9*2x= 5*3^x/2 * 2^x/2;
3) 2*4x-3*10x - 5*25x =0;
4) 4*9x+12x-3*16x=0.
*размещая тексты в комментариях ниже, вы автоматически соглашаетесь с пользовательским соглашением