Упр.271 ГДЗ Алимов 10-11 класс (Алгебра)
Решение #1
Решение #2

Рассмотрим вариант решения задания из учебника Алимов, Колягин, Ткачёва 10 класс, Просвещение:
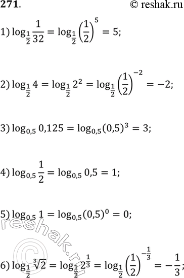
271. 1) log1/2(1/32);
2) log1/2(4);
3) log0,5(0,125);
4) log0,5(1/2);
5) log0,5(1);
6) log1/2( корень 3 степени 2).
*размещая тексты в комментариях ниже, вы автоматически соглашаетесь с пользовательским соглашением