Упр.265 ГДЗ Алимов 10-11 класс (Алгебра)
Решение #1
Решение #2

Рассмотрим вариант решения задания из учебника Алимов, Колягин, Ткачёва 10 класс, Просвещение:
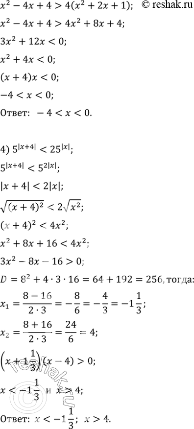
265. Решить неравенство:
1) 3^|x-2| < 9;
2) 4^|x+1| > 16;
3) 2^|x-2| > 4^|x+1|;
4) 5^|x+4| < 25^|x|.
*размещая тексты в комментариях ниже, вы автоматически соглашаетесь с пользовательским соглашением