Упр.427 ГДЗ Макарычев Миндюк 9 класс (Алгебра)
Решение #1
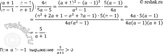
Решение #2

Рассмотрим вариант решения задания из учебника Макарычев, Миндюк, Нешков 9 класс, Просвещение:
427. Докажите, что при а > -1 выражение ((a+1)/(a-1) - (a-1)/(a+1)): 4a/(5a-5) принимает положительные значения при всех допустимых значениях а.
*размещая тексты в комментариях ниже, вы автоматически соглашаетесь с пользовательским соглашением