Упр.433 ГДЗ Макарычев Миндюк 9 класс (Алгебра)
Решение #1
Решение #2

Рассмотрим вариант решения задания из учебника Макарычев, Миндюк, Нешков 9 класс, Просвещение:
433. Решите систему уравнений:
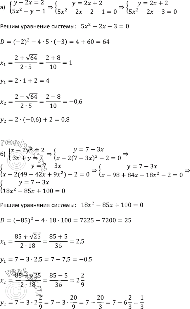
а) система
y-2x=2,
5x2-y=1;
б) система
x-2y2=2,
3x+y=7;
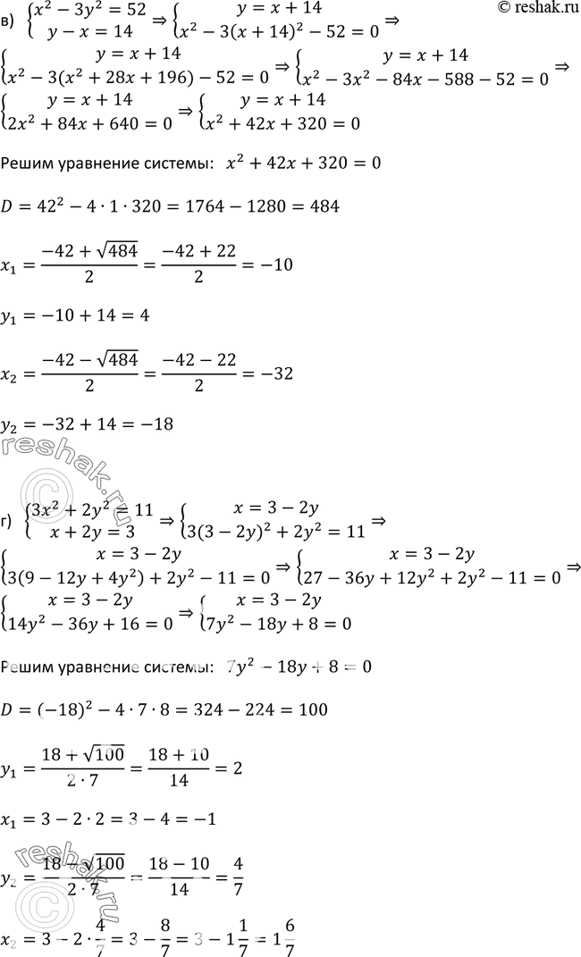
в) система
x2-3y2=52,
y-x=14;
г) система
3x2+2y2=11,
x+2y=3;
д) система
x2+y2=100,
3x=4y;
е) система
2x2-y2=32,
2x-y=8.
*размещая тексты в комментариях ниже, вы автоматически соглашаетесь с пользовательским соглашением