Упр.1603 ГДЗ Алимов 10-11 класс (Алгебра)
Решение #1
Решение #2

Рассмотрим вариант решения задания из учебника Алимов, Колягин, Ткачёва 11 класс, Просвещение:
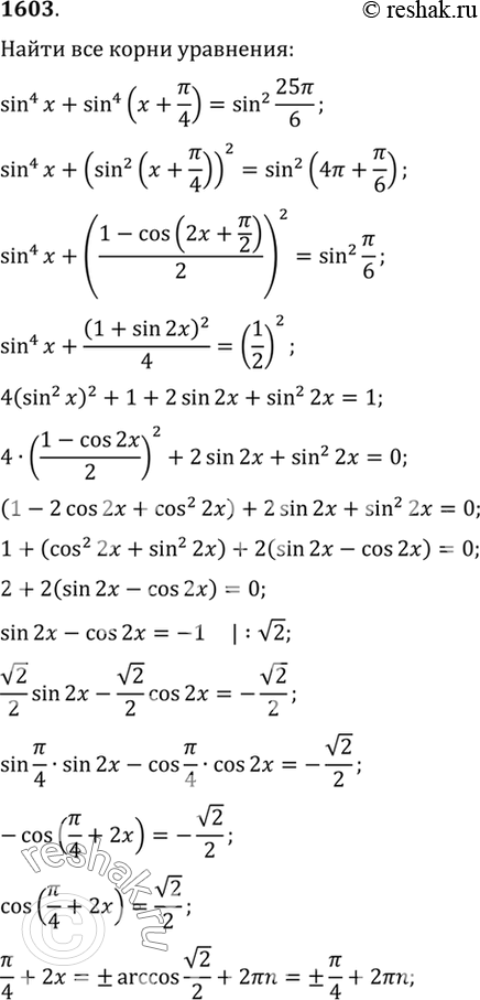
1603 Найти все корни уравнения sin4x+sin4(x+пи/4) = sin2 25пи/6, удовлетворяющие неравенству lg(x- (корень (2x+24)) >0.
*размещая тексты в комментариях ниже, вы автоматически соглашаетесь с пользовательским соглашением