Упр.272 ГДЗ Макарычев Миндюк 9 класс (Алгебра)
Решение #1
Решение #2

Рассмотрим вариант решения задания из учебника Макарычев, Миндюк, Нешков 9 класс, Просвещение:
272. Решите уравнение:
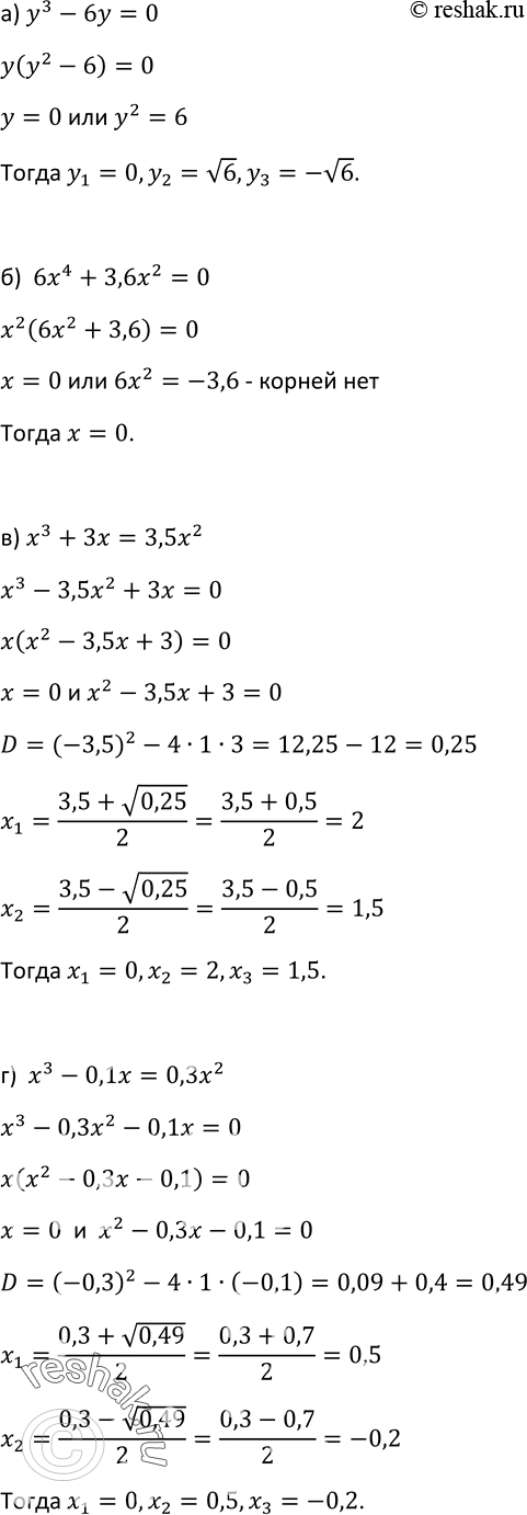
а) у3 - 6у = 0;
б) 6x4 + 3,6x2 = 0;
в) х3 + 3x = 3,5x2;
г) x3 - 0,1x = 0,3x2;
д) 9х3 - 18х2 - х + 2 = 0;
е) y4 - У3 - 16y2 + 16y = 0;
ж) р3 - р2 = р - 1;
з) х1 - х2 = 3х3 - 3х.
*размещая тексты в комментариях ниже, вы автоматически соглашаетесь с пользовательским соглашением