Упр.276 ГДЗ Макарычев Миндюк 9 класс (Алгебра)
Решение #1
Решение #2

Рассмотрим вариант решения задания из учебника Макарычев, Миндюк, Нешков 9 класс, Просвещение:
276. Решите уравнение, используя введение новой переменной:
а) (2х2 + З)2 - 12(2х2 + 3) + 11 = 0;
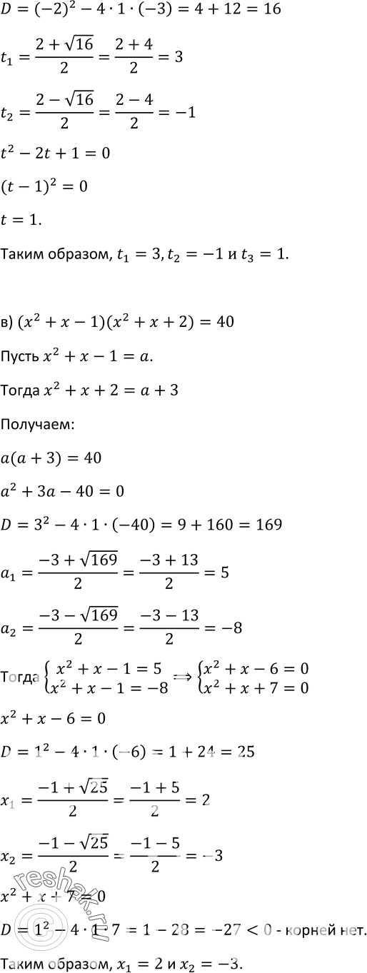
б) (t2 - 2t)2 - 3 = 2 (t2- 2t);
в) (х2 + х- 1)(х2 + х + 2) = 40;
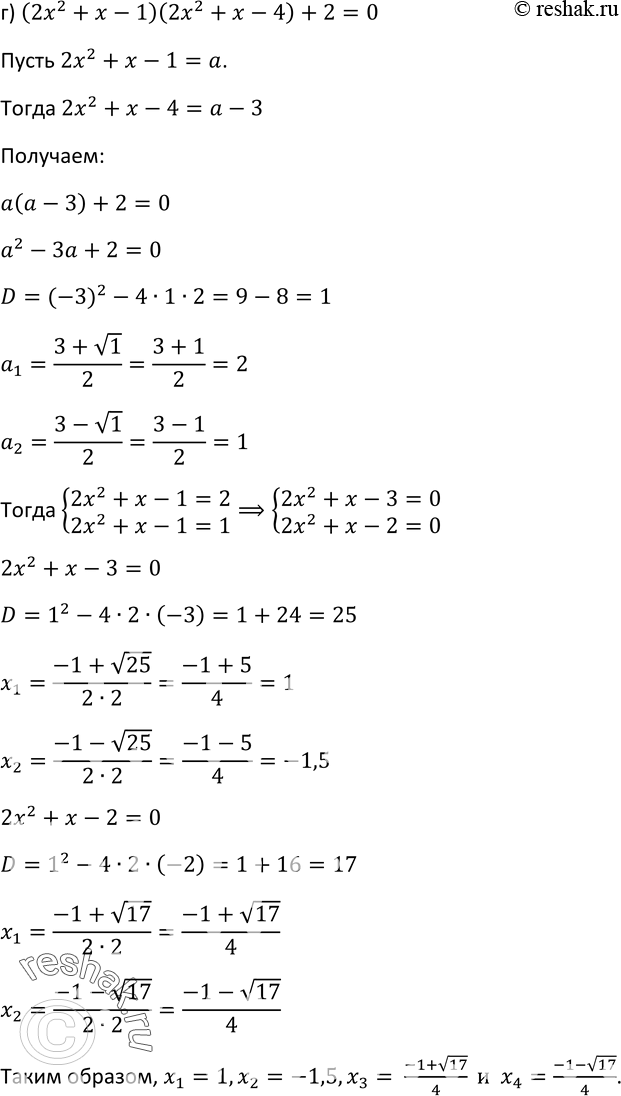
г) (2х2 + х - 1)(2х2 + х - 4) + 2 = 0.
*размещая тексты в комментариях ниже, вы автоматически соглашаетесь с пользовательским соглашением