Упр.274 ГДЗ Макарычев Миндюк 9 класс (Алгебра)
Решение #1
Решение #2

Рассмотрим вариант решения задания из учебника Макарычев, Миндюк, Нешков 9 класс, Просвещение:
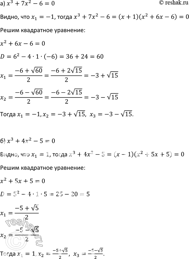
74. Решите уравнение:
а) х3 + 7х2 -6 = 0;
б) x3+4x2-5=0.
*размещая тексты в комментариях ниже, вы автоматически соглашаетесь с пользовательским соглашением